Ejercicios FyQ

 Ejercicios Resueltos de La Materia (3.º ESO)

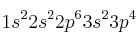
A partir de las siguientes configuraciones electrónicas, responde:

X: 1s^22s^22p^63s^23p^4 ; Y: 1s^22s^22p^63s^1 ; Z: 1s^22s^22p^63s^23p^64s^2

a) ¿A qué periodo y grupo pertenecen?

b) ¿Cuáles son sus números atómicos?

c) ¿Cuáles serán sus estados de oxidación más estables?

d) ¿Cuáles de esos iones serían isoelectrónicos?


Escribe la configuración electrónica de los siguientes átomos: Na (Z = 11), S (Z = 16), Cu (Z = 29) y F (Z = 9), aplicando el principio de Aufbau.


Escribe la configuración electrónica de los elementos A (Z = 13) y B (Z = 17). ¿Cuál será el estado de oxidación más probable de cada elemento? ¿Qué tipo de compuesto formarán y cuál será su fórmula empírica?


¿Cuál fue el científico que consideró que el electrón presenta un comportamiento dual?


Basándote en el modelo atómico de Dalton, responde a las siguientes cuestiones:

a) ¿Pueden dos elementos distintos estar formados por átomos iguales?

b) ¿Los átomos de un elemento cambian al producirse una reacción química?

c) ¿Pueden combinarse tres átomos de un elemento y 2 átomos de otro para formar un compuesto?


Indica el número de átomos de cada tipo que hay en cada molécula:

a) H_2O

b) FeCl_2

c) CuSO_3

d) SbO_2

e) (NH_4)_2S


Completa la tabla siguiente:

\begin{tabular}{|c|c|c|c|c|c|} \hline Elemento & Z & A & n_p & n_n & n_e \\\hline A & 30 &  &   & 35 &  \\\hline B &  & 39 & 19 &  &  \\\hline C &  &  &  & 18 & 17  \\\hline D &  &  & 54 & 77 &  &\hline \end{tabular}


Completa las siguientes frases para que queden correctas:

a) La tabla periódica consta de \rule{15mm}{0.1mm} grupos y \rule{15mm}{0.1mm} periodos.

b) Los elementos del grupo 15 son llamados \rule{20mm}{0.1mm} .

c) El hierro y el mercurio son elementos que pertenecen al bloque \rule{10mm}{0.1mm} del sistema periódico.

d) Todos los elementos del grupo 17 tienen en común que pertenecen al bloque \rule{10mm}{0.1mm} y, por lo tanto, tienen \rule{15mm}{0.1mm} electrones en su último nivel ocupado.


Completa las siguientes frases para que queden correctas:

a) La tabla periódica consta de \rule{15mm}{0.1mm} grupos y \rule{15mm}{0.1mm} periodos.

b) Los elementos del grupo 13 son llamados \rule{20mm}{0.1mm} .

c) El cobre y el cinc son elementos que pertenecen al bloque \rule{10mm}{0.1mm} del sistema periódico.

d) Todos los elementos del grupo 2 tienen en común que pertenecen al bloque \rule{10mm}{0.1mm} y, por lo tanto, tienen \rule{10mm}{0.1mm} electrones en su último nivel ocupado.


Las siguientes especies químicas ^{35}_{16}S y ^{35}_{17}Cl tienen igual número de:
a) neutrones
b) electrones
c) protones + neutrones
d) protones
e) protones + electrones


Índice de Ejercicios RESUELTOS

Inscribirse en este sitio

Pediste intervenir en un foro reservado a las personas registradas.

Identificadores personales

Indica aquí tu nombre y dirección de correo electrónico. Se te enviará de inmediato por correo electrónico tu identificador personal.