Ejercicios FyQ

 Ejercicios Resueltos de El movimiento y las fuerzas (4.º de ESO)

Se lanza verticalmente hacia arriba un móvil que a los 8.4 s lleva una rapidez de 30.5 m/s. Halla:

a) La rapidez inicial del lanzamiento.

b) La altura alcanzada en ese instante.

c) Tiempo que tarda en regresar al punto de lanzamiento.

d) La altura alcanzada a los 7 s del lanzamiento.


¿Qué velocidad inicial debe tener un niño en un monopatín para alcanzar una velocidad de 15 km/h en 5 s, si acelera a razón de 0.8 m\cdot s^{-2}?


Un tren va a cierta velocidad, frena durante 10 segundos y se detiene en 50 metros. ¿Cuál es su velocidad inicial y su aceleración?


Un vehículo va por la carretera y ve una roca a 100 m. Si su aceleración de frenado es de 4\ m\cdot s^{-2}, ¿qué velocidad máxima deberá llevar el vehículo para no chocar con la roca?


El conductor de una moto ve cambiar a rojo el semáforo y comienza a frenar. Si frena durante 6 s y recorre 72 m antes de pararse, ¿qué velocidad media ha llevado la moto durante ese tiempo?


Un cohete que lleva un satélite acelera verticalmente alejándose de la superficie terrestre. Al tiempo 1,15 s después de despegar, el cohete libera el tope de su plataforma de lanzamiento, a 63 m sobre el suelo y después de otros 4,75 s está a 100 km sobre el suelo. Calcula la magnitud de la velocidad media del cohete en:

a) El tramo de los últimos 4,75 s de su vuelo.

b) Los primeros 5,90 s de su vuelo.


Un tren se mueve con una rapidez casi constante de 60\  \textstyle{km\over h} dirigiéndose al este durante 40 min y después en una dirección de 45 ^o desde el este al norte durante 20 min y, por último, hacia el oeste durante 50 min. ¿Cuál es la velocidad media del tren durante el recorrido?


Adriana escala una pared de 250 m en un tiempo de una hora y media. ¿Cuál fue su velocidad media expresada en unidades SI?


En 1999 el corredor marroquí Hicham El Guerrouj corrió la milla en 3 minutos. ¿Qué rapidez media tuvo durante la carrera? Expresa el resultado en unidades SI.


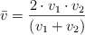
Luis Fernando va en línea recta desde su casa a la casa de Ana María con una velocidad constante v _1 y regresa nuevamente a su casa con una velocidad constante v _2. Verifica que la rapidez promedio (\bar  v) en el recorrido completo de Luis Fernando fue:

\bar v  = \frac{2\cdot v_1\cdot v_2}{(v_1 + v_2)}


Índice de Ejercicios RESUELTOS

Inscribirse en este sitio

Pediste intervenir en un foro reservado a las personas registradas.

Identificadores personales

Indica aquí tu nombre y dirección de correo electrónico. Se te enviará de inmediato por correo electrónico tu identificador personal.