Saltar la navegación

3. Generalidades sobre nomenclatura orgánica

La química orgánica, también llamada «química del carbono», es la parte de la química que está relacionada con el carbono. Los compuestos orgánicos tienen en común que contienen carbono e hidrógeno y que algún átomo de hidrógeno está unido directamente a un átomo de carbono, como mínimo.

Molécula orgánica
EjerciciosFyQ. Ejemplo de compuesto orgánico. (CC BY-SA)

La nomenclatura orgánica que vas a estudiar es la que publicó la IUPAC en 1993 y, al igual que has visto en la nomenclatura inorgánica, las normas para nombrar y formular compuestos orgánicos son muy estrictas.

Claves para formular compuestos

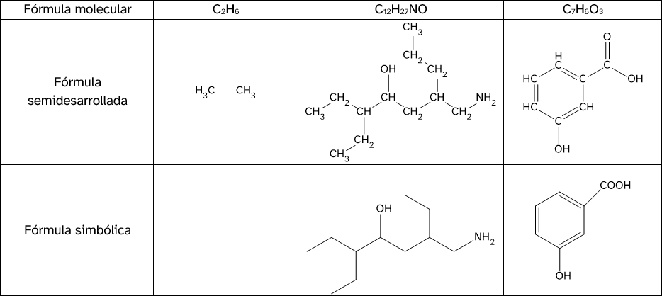
Cuando escribimos fórmulas de compuestos orgánicos debemos tener en cuenta que lo podemos hacer de varias formas:

  • Fórmula molecular. Es una manera de escribir un compuesto que solo nos informa de la proporción en la que están los átomos que lo forman y de cuál es su masa molecular. Es una manera útil para hacer cálculos estequiométricos o como manera de referirnos a un compuesto de manera general. Por contra, al no ofrecer información sobre la estructura del compuesto, apenas se usa cuando se pretende analizar las propiedades químicas o la reactividad de los compuestos.
  • Fórmula semidesarrollada. Es útil para visualizar los grupos funcionales en las moléculas orgánicas. Los carbonos se representan unidos unos a otros por enlaces simples, dobles o triples. También se escriben los enlaces con otro tipo de átomos (heteroátomos). Los hidrógenos aparecen siempre escritos junto a los carbonos, o a los heteroátomos, con subíndices que indican el número de ellos que está unido al mismo átomo. Es la forma más corriente de escribir los compuestos orgánicos.
  • Fórmula simbólica. Usada para escribir compuestos de muchos átomos de carbono o compuestos cíclicos. Se usan líneas que representan las cadenas carbonadas en las que cada vértice equivale a un átomo de carbono. De estas cadenas parten grupos funcionales, otras cadenas carbonadas o heteroátomos que se representan por sus símbolos químicos.
Tipos de fórmulas orgánicas
EjerciciosFyQ. Tipos de fórmulas orgánicas. (CC BY-SA)

Este curso usaremos las fórmulas semidesarrolladas para escribir las fórmulas de los compuestos químicos que vamos a estudiar.

Claves para nombrar compuestos

La forma de escribir el nombre de los compuestos químicos sigue una norma muy concreta: primero se coloca el localizador y luego se coloca el radical o el sufijo que indica el grupo funcional.

H3C-CH2-CH=CH2 H3C-CH(CH3)-CH2-CH2-CH3 H3C-CH2-CH2-CH2-NH3
but-1-eno 2-metilpentano butan-1-amina

Licencia: licencia propietaria

Creado con eXeLearning (Ventana nueva)