Fuerza eléctrica entre el protón y el electrón en el átomo de hidrógeno (4432)

, por F_y_Q

En el átomo de hidrógeno, el protón del núcleo y el electrón están separados por una distancia promedio de 5.3\cdot 10^{-11}\ m. ¿Cuál es la intensidad de la fuerza de interacción electrostática entre ambas partículas?

Datos: K = 9\cdot 10^9\ \textstyle{N\cdot m^2\over C^2} ; q_e = -1.6\cdot 10^{-19}\ C.

P.-S.

Con los datos dados puedes aplicar la ley de Coulomb:

\color[RGB]{2,112,20}{\bm{F_E = K\cdot \frac{q_p\cdot q_e}{d^2}}}

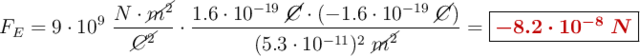
Si sustituyes los datos y haces los cálculos obtienes el valor pedido:

F_E = 9\cdot 10^9\ \frac{N\cdot \cancel{m^2}}{\cancel{C^2}}\cdot \frac{1.6\cdot 10^{-19}\ \cancel{C}\cdot (-1.6\cdot 10^{-19}\ \cancel{C})}{(5.3\cdot 10^{-11})^2\ \cancel{m^2}} = \fbox{\color[RGB]{192,0,0}{\bm{-8.2\cdot 10^{-8}\ N}}}


El protón y electrón tienen la misma carga pero de signo contrario. El valor negativo de la fuerza indica que es una fuerza de atracción entre ellos.