Valor del producto de dos cargas que se repelen (4849)

, por F_y_Q

Dos cargas eléctricas situadas en el vacio a 0.20 m de distancia se repelen con una fuerza de 0.1 N. Calcula el valor del producto de las cargas q_1 \cdot q_2.

Dato: K = 9 \cdot 10^9\ \frac{N\cdot m^2}{C^2}

P.-S.

Aplicando la ley de Coulomb puedes despejar el producto de las cargas. Como te dicen que las cargas se repelen, debes considerar que la fuerza es negativa, porque el producto de las cargas es negativo al tener signos distintos.

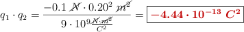
F = K\cdot \frac{q_1\cdot q_2}{d^2}\ \to\ q_1\cdot q_2  = \frac{F\cdot d^2}{K}

Sustituyes los datos y calculas:

q_1\cdot q_2 = \frac{-0.1\ \cancel{N}\cdot 0.20^2\ \cancel{m^2}}{9\cdot 10^9\frac{\cancel{N}\cdot \cancel{m^2}}{C^2}} = \fbox{\color[RGB]{192,0,0}{\bm{-4.44\cdot 10^{-13}\ C^2}}}