Ejercicios FyQ

 Ejercicios Resueltos de Química Orgánica

Escribe la fórmula semidesarrollada del 4,4-dimetilpentanal.


Escribe la fórmula semidesarrollada del 2,3,3,4,6-pentametiloctano.


Formula los siguientes compuestos y radicales orgánicos:

a) 2,3,4-trimetilhexano

b) 3-etil-2-metilhexano

c) 1,1-dimetilpropilo

d) 4,4,5,5-tetrametilheptilo

e) 3,3,6-trietil-6-metiloctano

f) 4-etil-3-metildecano

g) 4-etil-2,5,7-trimetil-5-propilnonano


Formula los siguientes compuestos, usando la fórmula semidesarrollada:

a) ácido 2-hidroxihexanoico.

b) 2-bromopenta-1,4-dieno.

c) 3-etilpentan-1-ol.

d) 4-metilheptan-2-ona.

e) propanoato de butilo.


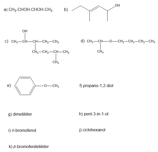
Nombra los siguientes compuestos oxigenados:


Formula los siguientes compuestos:

a) pentan-3-ol.

b) etilpropiléter.

c) propanodial.

d) hexanal.

e) pentan-2-ona.

f) hexano-2,3-diona.

g) etanoato de etilo.

h) metanoato de metilo.

i) ácido hexanodioico.

j) ácido etanoico.

k) etanol.


Los ésteres son los responsables del sabor y olor de las frutas. Escribe las fórmulas semidesarrolladas y estructurales de los siguientes ésteres:

a) formiato de etilo (aroma a ron).

b) etanoato de pentilo (aroma a plátano).

c) acetato de octilo (aroma a naranja).

d) butanoato de etilo (aroma a piña).

e) butirato de butilo (aroma a piña).


Escribe la fórmula del cloruro de vinilo.


Nombra y formula:

c) 4-bromo-2-pentenal

d) 2-cloro-5-metilhetanal


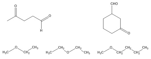
Formula o nombra los siguientes compuestos orgánicos:


Índice de Ejercicios RESUELTOS

Inscribirse en este sitio

Pediste intervenir en un foro reservado a las personas registradas.

Identificadores personales

Indica aquí tu nombre y dirección de correo electrónico. Se te enviará de inmediato por correo electrónico tu identificador personal.