Ejercicios FyQ

 Ejercicios Resueltos de Introducción

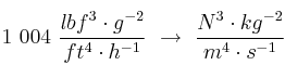
Realiza el siguiente cambio de unidades:

1\ 004\ \frac{lbf^3\cdot g^{-2}}{ft^4\cdot h^{-1}}\ \to\ \frac{N^3\cdot kg^{-2}}{m^4\cdot s^{-1}}

Datos: 1 lbf = 4,45 N ; 1 ft = 0,30 m


La longitud de un calamar es de 12 pies con 4 pulgadas. Determina su longitud en metros.


Expresa cada una de las cifras siguientes con solo tres cifras significativas:

a) 10.061 m

b) 0.003538 A

c) 765.3 km

d) 62 000 000 s


Expresa con tres cifras significativas el número de átomos contenidos en 0.32 moles de hierro.

Dato: 1\ \text{mol} = 6.022\cdot 10^{23}\ \text{at} .


¿Cómo calcular el peso de una piedra que esta en newtons en dinas?


Deduce una formula física que nos permita expresar el volumen de agua por unidad de tiempo (Q) que sale por un agujero sabiendo que depende de:

S = densidad ; C = constante ; D = diámetro del orificio ; P = presión


La densidad del osmio (Os) es 22.61\ g\cdot cm^{-3}. Expresa su densidad en unidades del SI.


¿Cómo influye la forma de un objeto en su densidad?


¿Cuál de los siguientes valores no puede representar el módulo de un vector: 18 km, 27 m/s, - 4 km/h, 80 kg?


¿En qué consiste el «principio de homogeneidad dimensional»?


Índice de Ejercicios RESUELTOS

Inscribirse en este sitio

Pediste intervenir en un foro reservado a las personas registradas.

Identificadores personales

Indica aquí tu nombre y dirección de correo electrónico. Se te enviará de inmediato por correo electrónico tu identificador personal.