Ejercicios Resueltos de Química Orgánica
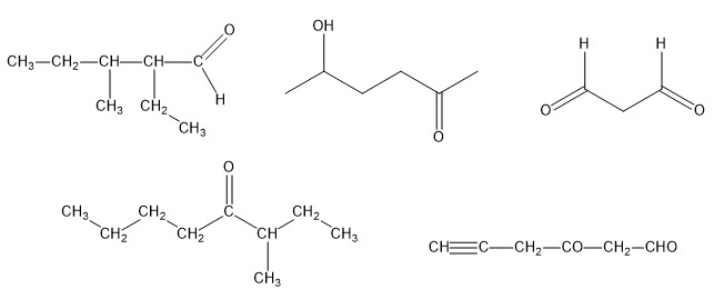
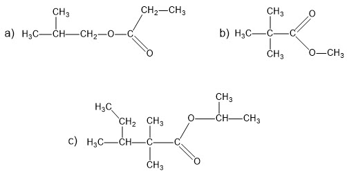
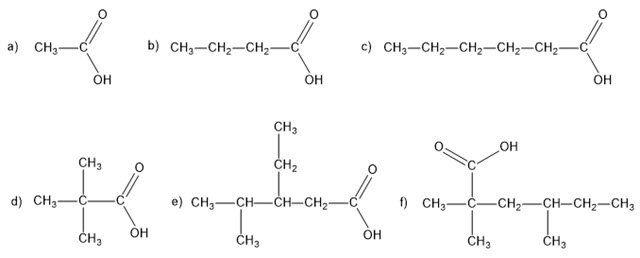
Nombra el compuesto
Formula los siguientes compuestos orgánicos:
3-metiloctanal ; 2-metilheptan-3-ona ; 2-isopropil-5-metilciclohexanona ; 3-etil-2,3-dimetilhexanal ; 2,2-dimetilbutanal.
Nombra los siguientes compuestos orgánicos:

Nombra y formula los siguientes alcanos:

¿Cuál es la fórmula molecular de cada uno de ellos? ¿Cómo explicas el resultado obtenido?