Nombrar o formular compuestos orgánicos (6728)
Formula los siguientes compuestos orgánicos:
3-metiloctanal ; 2-metilheptan-3-ona ; 2-isopropil-5-metilciclohexanona ; 3-etil-2,3-dimetilhexanal ; 2,2-dimetilbutanal.
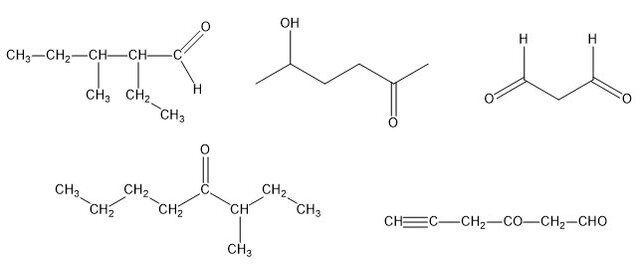
Nombra los siguientes compuestos orgánicos:
