Ejercicios FyQ

 Ejercicios Resueltos de Energía y Calor

Una plancha de aluminio de 4 m de largo se encuentra a una temperatura de 34\ ^\circ C. Si la temperatura aumenta en 15\ ^\circ C, calcula la longitud final de la plancha. Dato: \alpha = 23,1\cdot 10^{-6}\ K^{-1}


Una barra de cobre mide 90 cm cuando está a 20\ ^oC. ¿Cuál será su longitud a 100\ ^oC ?

Dato: \alpha _{\ce{Cu}} = 17\cdot 10^{-6}\ ^oC^{-1}


A una temperatura de 35\ ^oC una varilla de cobre tiene una longitud de 19 m. ¿Cuál será su longitud final al aumentar la temperatura a 55\ ^oC?

Dato: \alpha_{\ce{Cu}} = 1.7\cdot 10^{-5}\ ^oC^{-1}


¿Cuál será el área de una placa de aluminio a 100\ ^oC si a 0\ ^oC su superficie mide 200\ cm^2?

Dato: \alpha_{\ce{Al}} = 24\cdot 10^{-6}\ ^oC^{-1}


¿Cuánto aumenta el volumen de un litro de mercurio cuando su temperatura se eleva en 100 grados centígrados?

Dato: \gamma_{\ce{Hg}} = 180\cdot 10^{-6}\ ^oC^{-1}


¿Siempre que se transfiere calor a un cuerpo aumentamos su temperatura?


Se calienta 1 kg de hielo a 0\ ^\circ C hasta que se funden 300 g de éste. Calcula la energía que se ha necesitado.


Halla la energía total necesaria para llevar un gramo de hielo desde - 30^oC hasta 120^oC.

Datos: c_e(hielo) = c_e(vapor) = 2,1\frac{J}{g\cdot K} ; c_e(agua) = 4,2\frac{J}{g\cdot K} ; l_f(hielo) = 3,33\cdot 10^2\frac{J}{g} ; l_{vap}(agua) = 2,26\cdot 10^3\frac{J}{g} ; T_f = 0^oC ; T_{eb} = 100^oC


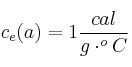
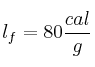
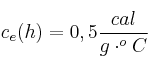
Calcula la energía necesaria para elevar la tempertura de 100 g de hielo desde -10\ ^oC hasta 20\ ^oC.
Datos: c_e(h) = 0,5\frac{cal}{g\cdot ^oC} ; c_e(a) = 1\frac{cal}{g\cdot ^oC} ; l_f = 80\frac{cal}{g}


Calcula la temperatura a la que se pueden enfriar 80 g de hielo, que se encuentran a - 5,0 grados centígrados, cuando se colocan en un frigorífico que absorbe 4,1\cdot 10^3\ J en un tiempo determinado.


Índice de Ejercicios RESUELTOS

Inscribirse en este sitio

Pediste intervenir en un foro reservado a las personas registradas.

Identificadores personales

Indica aquí tu nombre y dirección de correo electrónico. Se te enviará de inmediato por correo electrónico tu identificador personal.