Energía necesaria para llevar hielo enfriado hasta vapor calentado

, por F_y_Q

Halla la energía total necesaria para llevar un gramo de hielo desde - 30^oC hasta 120^oC.

Datos: c_e(hielo) = c_e(vapor) = 2,1\frac{J}{g\cdot K} ; c_e(agua) = 4,2\frac{J}{g\cdot K} ; l_f(hielo) = 3,33\cdot 10^2\frac{J}{g} ; l_{vap}(agua) = 2,26\cdot 10^3\frac{J}{g} ; T_f = 0^oC ; T_{eb} = 100^oC

P.-S.

El proceso de calentamiento implica dos cambios de estado. Esto hace que tengamos que dividirlo en cinco pasos:
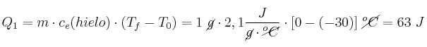
Primer paso: Calentar el hielo hasta la temperatura de fusión.

Q_1 = m\cdot c_e(hielo)\cdot (T_f - T_0) = 1\ \cancel{g}\cdot 2,1\frac{J}{\cancel{g}\cdot \cancel{^oC}}\cdot [0 - (-30)]\ \cancel{^oC} = 63\ J


Segundo paso: Cambio de estado del hielo.

Q_2 = m\cdot l_f(hielo) = 1\ \cancel{g}\cdot 3,33\cdot 10^2\frac{J}{\cancel{g}} = 3,33\cdot 10^2\ J


Tercer paso: Calentar el agua hasta la temperatura de ebullición.

Q_3 = m\cdot c_e(agua)\cdot (T_{eb} - T_f) = 1\ \cancel{g}\cdot 4,2\frac{J}{\cancel{g}\cdot \cancel{^oC}}\cdot (100 - 0)\ \cancel{^oC} = 4,2\cdot 10^2\ J


Cuarto paso: Cambio de estado del agua.

Q_4 = m\cdot l_{vap}(agua) = 1\ \cancel{g}\cdot 2,26\cdot 10^3\frac{J}{\cancel{g}} = 2,26\cdot 10^3\ J


Quinto paso: Calentar el vapor hasta la temperatura de final.

Q_5 = m\cdot c_e(vap)\cdot (T - T_{eb}) = 1\ \cancel{g}\cdot 2,1\frac{J}{\cancel{g}\cdot \cancel{^oC}}\cdot (120 - 100)\ \cancel{^oC} = 42\ J


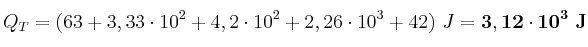
El calor total será la suma de los calores que hemos calculado en cada paso:
Q_T = Q_1 + Q_2 + Q_3 + Q_4 + Q_5

Q_T = (63 + 3,33\cdot 10^2 + 4,2\cdot 10^2 + 2,26\cdot 10^3 + 42)\ J = \bf 3,12\cdot 10^3\ J