Ejercicios FyQ

 Ejercicios Resueltos de Nomenclatura orgánica

Nombra los compuestos siguientes:


Formula:

a) Dimetilpropano

b) 3-etilhexa-1,4-diino


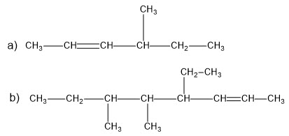
Nombra los siguientes compuestos:


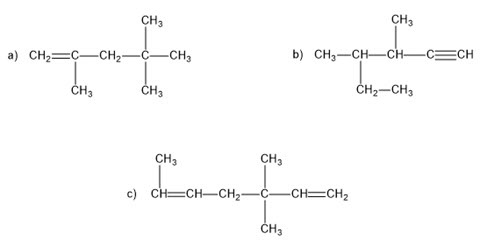
Nombra y formula:











c) 5,6-dimetilhept-1-en-3-ino

d) 6-etil-3,7-dimetilnonano


Nombra y formula:







c) 3,4-dibromo-5-metilheptano

d) 1-cloro-4-yodopenta-1,4-dieno


Nombra y formula:







c) 5-yodopentano-2,3,4-triol

d) hex-4-en-2-ino-1,4-diol


Escribe la fórmula estructural del 1,2-dibromo-2-metilpropano.


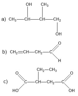
Nombra y formula:








c) ácido hex-3-enoico

d) ácido 2-etil-3yodopentanoico


Nombra y formula:






c) 2-cloro-4-metilhexan-3-ona

d) hexano-2,4-diona


Escribe la estructura de los siguientes compuestos:

a) 2,3-dimetilbutano

b) n-hexano

c) 2-etilpropano (isopentano)

d) etino

e) buteno

f) 2,3,4-trimetilpentano

g) 2-metil-3-propil-hexano

h) fenol

i) tolueno

j) etanol


Índice de Ejercicios RESUELTOS

Inscribirse en este sitio

Pediste intervenir en un foro reservado a las personas registradas.

Identificadores personales

Indica aquí tu nombre y dirección de correo electrónico. Se te enviará de inmediato por correo electrónico tu identificador personal.