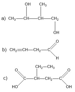
Ejercicio formulación orgánica (35) Sábado 5 de diciembre de 2009, por F_y_Q | Nomenclatura orgánica Alcoholes Aldehídos Ácidos carboxílicos RESUELTO IUPAC (1993) Nombra los siguientes compuestos: