Densidad de una disolución: relación entre masa y volumen (3254)

, por F_y_Q

Una disolución de ácido clorhídrico tiene una densidad de 1.12 g/mL. Calcula la masa de 750 mL de disolución y el volumen ocupado por 750 g de la disolución.

P.-S.

Haces cada apartado del ejercicio usando el dato de la densidad como si fuera un factor de conversión. Cada mL de disolución equivale a 1.12 g:

750\ \cancel{mL}\ D\cdot \frac{1.12\ g}{1\ \cancel{mL}} = \fbox{\color[RGB]{192,0,0}{\bm{840\ g\ D}}}


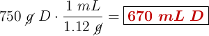
750\ \cancel{g}\ D\cdot \frac{1\ mL}{1.12\ \cancel{g}} = \fbox{\color[RGB]{192,0,0}{\bm{670\ mL\ D}}}


(Redondeando el dato de la masa).