Disoluciones: concentración g/L, porcentajes masa y volumen 0002

, por F_y_Q

Se prepara una disolución con 25 mL de alcohol y 500 mL de agua, calcula:

a) El porcentaje en masa.

b) El porcentaje en volumen.

c) La concentración en g/L.

Datos: densidad del alcohol = 0,78 g/mL ; densidad del agua = 1 g/mL

P.-S.

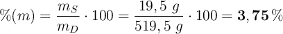
Para poder determinar el porcentaje en masa necesitamos conocer la masa de cada sustancia mezclada. Usamos los datos de las densidades como factores de conversión:
25\ mL\ alcohol\cdot \frac{0,78\ g}{1\ mL} = 19,5\ g\ alcohol
500\ mL\ agua\cdot \frac{1\ g}{1\ mL} = 500\ g\ agua
a)

\%(m) = \frac{m_S}{m_D}\cdot 100 = \frac{19,5\ g}{519,5\ g}\cdot 100 = \bf 3,75\%


\%(V) = \frac{V_S}{V_D}\cdot 100 = \frac{25\ mL}{525\ mL}\cdot 100 = \bf 4,765\%


c)

c = \frac{m_S\ (g)}{V_D\ (L)} = \frac{19,5\ g}{0,525\ L} = \bf 37,14\ g/L