Distancia entre el Sol y la Tierra en notación científica y usando prefijos (4500)

, por F_y_Q

El Sol está, en promedio, a 93 millones de millas de la Tierra. ¿A cuántos metros equivale esa distancia? Expresa el resultado en notación científica y usando un prefijo numeral.

P.-S.

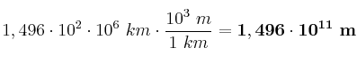
Para hacer el ejercicio es necesario conocer la equivalencia entre la milla y el metro: 1 mi = 1 609 m (lo redondeo dado que la distancia es enorme).
<br/<

93\cdot 10^6\ \cancel{mi}\cdot \frac{1.609\cdot 10^3\ m}{1\ \cancel{mi}} = \fbox{\color[RGB]{192,0,0}{\bm{1.496\cdot 10^{11}\ m}}}


Para usar prefijos, vamos a expresar el resultado como potencia de nueve: 149.6 \cdot 10^9\ m , es decir, \fbox{\color[RGB]{192,0,0}{\bm{149.6\ Gm}}}