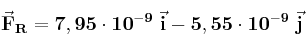
Fuerza eléctrica: Principio de superposición 0001 6445
Tres cargas puntuales = 5 nC,
= -3 nC y
= 2 nC están colocadas según se ve en la figura. Calcula el vector fuerza resultante sobre la carga
. Supón que las coordenadas están expresadas en metros.
