Porcentaje en volumen de una disolución 0002

, por F_y_Q

Calcula el porcentaje en volumen de un disolución preparada con 2 mL de hexano disueltos en gua hasta un volumen de 1 L.

P.-S.

En primer lugar debemos expresar ambos volúmenes en la misma unidad. Convertimos el volumen de la disolución:

1\ L\cdot \frac{1\ 000\ mL}{1\ L} = \bf 1\ 000\ mL


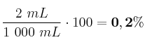
Ahora aplicamos la definición del porcentaje en volumen: \% = \frac{V _S}{V_D}\cdot 100

\frac{2\ mL}{1\ 000\ mL}\cdot 100 = \bf 0,2\%