El término «hidrocarburo» se usa para referir compuestos que están formados solo por átomos de hidrógeno y carbono. Los átomos de carbono se unen entre sí y con los átomos de hidrógeno, de manera que cada átomo de carbono forma cuatro enlaces. Estos compuestos se clasifican según sea el tipo de enlace que se establece entre sus átomos de carbono:
- Alcanos. Son aquellos compuestos en los que los átomos de carbono se unen solo con enlaces simples.
- Alquenos. Son compuestos en los que hay algún enlace doble entre los átomos de carbono.
- Alquinos. Son compuestos en los que hay algún enlace triple entre los átomos de carbono, pero sin que haya enlaces dobles.
Alcanos
La fórmula molecular de los alcanos lineales es CnH2n+2, siendo «n» el número de carbonos del compuesto. Para los alcanos cíclicos, la fórmula molecular es CnH2n.

Para denotar el número de carbonos que contiene la cadena principal de un hidrocarburo usamos prefijos. Los primeros cuatro prefijos de la serie homóloga son poco comunes. A partir del cuarto, se usan los prefijos numerales latinos que ya conoces. Como se trata de alcanos, el sufijo es siempre -ano. Fíjate en la serie homóloga siguiente, y aprende los prefijos que se usan en cada caso:
![]() |
Se llama «serie homóloga» porque cada compuesto se diferencia del anterior en un grupo -CH2- más. |
Cuando uno de estos compuestos pierde un átomo de hidrógeno da lugar a un radical, especie reactiva que se une a otras cadenas carbonadas formando una ramificación. Lo nombramos sustituyendo el sufijo -ano por el sufijo -ilo (o -il).

Reglas para nombrar alcanos
1. La cadena principal será siempre que la que contenga mayor número de átomos de carbono. En caso de que haya más de una cadena con el mismo número de átomos de carbono debemos seguir la siguiente secuencia:
a) La cadena con mayor número de cadenas laterales (ramificaciones).
b) La cadena cuyas ramificaciones tengan los localizadores más bajos.
c) La cadena cuyas cadenas más pequeñas tengan mayor número de átomos de carbono.
d) La cadena que contenga cadenas laterales menos ramificadas.
2. Numeramos los carbonos de la cadena principal de manera que se asignen los localizadores más bajos posibles a los sustituyentes, sean cuales sean.
3. Los radicales sencillos se nombran por orden alfabético (sin tener en cuenta los prefijos numerales). Si hay varios radicales iguales se separan por comas los localizadores y luego se pone el nombre del radical, usando un prefijo numeral que indique el número de veces que se repite el radical.
4. Los radicales complejos se ordenan según su primera letra (teniendo en cuenta los prefijos numerales).
5. Cuando hay varios radicales complejos se usan los prefijos numerales griegos para indicar cuántas veces se repiten.
Ejercicio resuelto: nombrar un alcano ramificado
A continuación, vas a ver un vídeo en el que se nombra un alcano ramificado. Observa que primero hay que encontrar la cadena principal y luego asignar los localizadores más bajos. Esta secuencia es siempre la misma y es muy importante que aprendas a seguirla:
Alquenos
Son hidrocarburos que tienen al menos un enlace doble entre dos átomos de carbono. Los nombramos como hemos visto con los alcanos, pero usando el sufijo -eno. Fíjate en los siguientes ejemplos:
![]() |
El primer alqueno de la serie homóloga es el eteno porque el doble enlace ha de ser entre dos átomos de carbono. También es importante que repares en que puede ser necesario un localizador para el doble enlace cuando haya posibilidades de confundir un compuesto con otro. |
La fórmula general de los alquenos lineales con un único doble enlace es CnH2n. Por cada doble enlace de más que tengan habría que restar «2» al número de hidrógenos. Lo mismo pasa con los alquenos cíclicos. Mira los ejemplos:
Alquinos
Son hidrocarburos en los que existe al menos un triple enlace entre dos átomos de carbono. Su fórmula general es CnH2n-2.
Es importante señalar que, tanto los dobles como los triples enlaces, se denominan insaturaciones, pero no tienen la misma preferencia. Los dobles enlaces siempre tienen preferencia sobre los triples y eso quiere decir que un alquino no puede contener dobles enlaces porque, de lo contrario, sería un alqueno. Los nombraremos del mismo modo que hemos visto para los hidrocarburos anteriores, aunque usando el sufijo -ino.

Reglas para nombrar alquenos y alquinos
Además de las reglas que has visto para nombrar alcanos, debes tener en cuenta las siguientes pautas cuando quieras nombrar compuestos con insaturaciones:
1. La cadena principal del hidrocarburo será aquella que contenga el mayor número de insaturaciones.
2. A las insaturaciones les corresponde siempre el localizador más bajo posible, es decir, debemos empezar a numerar la cadena principal de manera que los localizadores más bajos sean para los dobles y triples enlaces.
3. Cuando hay dobles y triples enlaces a los que correspondería el mismo localizador, tienen preferencia los dobles enlaces sobre los triples. Para nombrarlos se nombran antes los radicales, luego los dobles enlaces y por último los triples enlaces, cada uno de ellos con su correspondiente localizador si fuera necesario.
Unos ejemplos resueltos
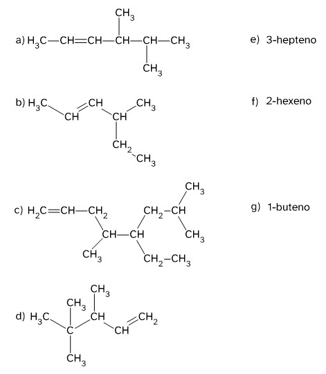
1. Nombra los siguientes hidrocarburos:

2. Nombra o escribe la fórmula de los siguientes alcanos:

3. Nombra y formula los compuestos que aparecen en la tabla. Debes obtener una tabla análoga en la que las fórmulas se han transformado en nombres y los nombres en fórmulas. Compara tu resultado con la solución y repasa los errores que hayas podido cometer.

En esta presentación puedes hacer un repaso general de lo aprendido. Son solo seis minutos en los que puedes leer el contenido de la presentación y debes reconocerlo porque, de ese modo, sabrás que te has enterado de la teoría necesaria para poder hacer los ejercicios de aplicación que encuentras a continuación.