La química orgánica, también llamada «química del carbono», es la parte de la química que está relacionada con el carbono. Los compuestos orgánicos tienen en común que contienen carbono e hidrógeno y que algún átomo de hidrógeno está unido directamente a un átomo de carbono, como mínimo.

La nomenclatura orgánica que vas a estudiar es la que publicó la IUPAC en 1993 y, al igual que has visto en la nomenclatura inorgánica, las normas para nombrar y formular compuestos orgánicos son muy estrictas.
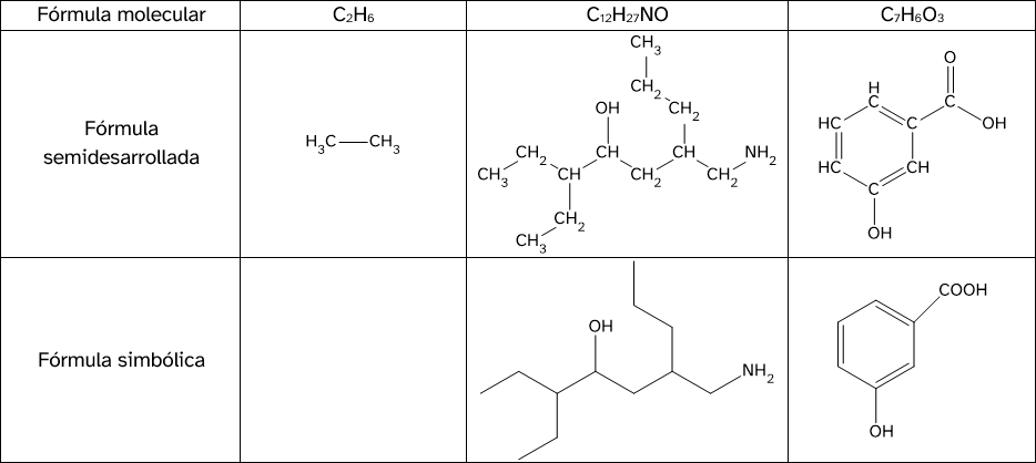
Claves para formular compuestos
Cuando escribimos fórmulas de compuestos orgánicos debemos tener en cuenta que lo podemos hacer de varias formas:
- Fórmula molecular. Es una manera de escribir un compuesto que solo nos informa de la proporción en la que están los átomos que lo forman y de cuál es su masa molecular. Es una manera útil para hacer cálculos estequiométricos o como manera de referirnos a un compuesto de manera general. Por contra, al no ofrecer información sobre la estructura del compuesto, apenas se usa cuando se pretende analizar las propiedades químicas o la reactividad de los compuestos.
- Fórmula semidesarrollada. Es útil para visualizar los grupos funcionales en las moléculas orgánicas. Los carbonos se representan unidos unos a otros por enlaces simples, dobles o triples. También se escriben los enlaces con otro tipo de átomos (heteroátomos). Los hidrógenos aparecen siempre escritos junto a los carbonos, o a los heteroátomos, con subíndices que indican el número de ellos que está unido al mismo átomo. Es la forma más corriente de escribir los compuestos orgánicos.
- Fórmula simbólica. Usada para escribir compuestos de muchos átomos de carbono o compuestos cíclicos. Se usan líneas que representan las cadenas carbonadas en las que cada vértice equivale a un átomo de carbono. De estas cadenas parten grupos funcionales, otras cadenas carbonadas o heteroátomos que se representan por sus símbolos químicos.

Este curso usaremos las fórmulas semidesarrolladas para escribir las fórmulas de los compuestos químicos que vamos a estudiar.
Claves para nombrar compuestos
La forma de escribir el nombre de los compuestos químicos sigue una norma muy concreta: primero se coloca el localizador y luego se coloca el radical o el sufijo que indica el grupo funcional.
H3C-CH2-CH=CH2 | H3C-CH(CH3)-CH2-CH2-CH3 | H3C-CH2-CH2-CH2-NH3 |
but-1-eno | 2-metilpentano | butan-1-amina |