Ejercicios FyQ

 Ejercicios Resueltos de Energía y Calor

En un calorímetro que contiene 2 kg de agua a 25 \ ^oC, se introducen 100 g de cierta sustancia que se encuentra a 80 \ ^oC. Establecido el equilibrio, se aprecia que la temperatura final es de 27 \ ^oC. ¿Qué calor específico tiene la sustancia?

Calor específico del agua: 1 \ \textstyle{cal\over g\cdot ^oC}


Calcula la cantidad de calor nesesario para calentar 0,3 metros cúbicos de agua desde los 20^oC a 100^oC. Considera que la densidad del agua es 10^3\ kg\cdot m^{-3} y que el calor específico es c_e = 4,18\ kJ\cdot kg^{-1}\cdot ^oC^{-1}


¿Qué cantidad de calor se requiere suministrar a 1.5 kg de estaño para elevar su temperatura desde los 2 0^oC hasta los 9 0^oC?

Dato: c_e(Sn) = 210\ \textstyle{J\over kg\cdot ^oC}


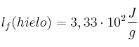
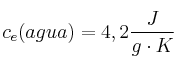
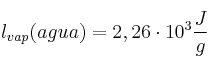
¿Qué cantidad de calor es necesario para elevar 30 g de hielo desde -4^oC hasta 103^oC?

Datos: c_e(hielo) = c_e(vapor) = 2,1\frac{J}{g\cdot K} ; c_e(agua) = 4,2\frac{J}{g\cdot K} ; l_f(hielo) = 3,33\cdot 10^2\frac{J}{g} ; l_{vap}(agua) = 2,26\cdot 10^3\frac{J}{g} ; T_f = 0^oC ; T_{eb} = 100^oC


¿Cuál es el calor necesario para calentar 280 kg de una madera con calor específico de 0.6\ \frac{kcal}{kg\cdot ^oC} , si su temperatura inicial es de 17\ ^oC y necesitamos que alcance una temperatura de 150\ ^o C?


Halla la cantidad de calor que se requiere elevar la temperatura de 1 L de agua de 10\ ^oC a 47\ ^oC.

Datos: \rho_{\text{agua}} = 1\ kg\cdot L^{-1} ; c_e(\text{agua}) = 4.18\ kJ\cdot kg^{-1}\cdot {^oC^{-1}


La cantidad de calor necesario para aumentar la temperatura de 300 gramos de agua de 0\ ^\circ C a 100\ ^\circ C es:

A) 30 kilocalorias

B) 300 calorías

C) 30 calorías

D) 6 kilocalorias


Sabiendo que el calor específico de la sangre arterial es 0.906\ cal\cdot (g\cdot ^oC)^{-1}, calcula el calor necesario para elevar 2\ ^oC la temperatura de 3 L de sangre arterial si su densidad es de 1.05\ g\cdot cm^{-3}.


Calcula el calor que debemos transferir a una sistema formado por 150 g de un compuesto C(s), a 120\ ^o C, para transformarlo en C(l), a 460\ ^o C, sabiendo que el punto de fusión del compuesto C es 282\ ^o C.

Datos: c_e[C(s)] = 13.9\ \frac{cal}{g\cdot ^o C} ; c_e[C(l)] = 22.5\ \frac{cal}{g\cdot ^o C} ; l_f[C] = 1\ 423\ \frac{cal}{g}


Calcula el calor necesario para calentar 8 kg de plomo desde 40 \ ^oC hasta 180\ ^oC.
Datos: T_f(Pb) = 327\ ^oC ; c_e(Pb) = 0.13\ \frac{J}{g\cdot ^oC}


Índice de Ejercicios RESUELTOS

Inscribirse en este sitio

Pediste intervenir en un foro reservado a las personas registradas.

Identificadores personales

Indica aquí tu nombre y dirección de correo electrónico. Se te enviará de inmediato por correo electrónico tu identificador personal.