Calor necesario para calentar un litro de agua (3349)

, por F_y_Q

Halla la cantidad de calor que se requiere elevar la temperatura de 1 L de agua de 10\ ^oC a 47\ ^oC.

Datos: \rho_{\text{agua}} = 1\ kg\cdot L^{-1} ; c_e(\text{agua}) = 4.18\ kJ\cdot kg^{-1}\cdot {^oC^{-1}

P.-S.

Puedes calcular el calor que hay que transferir a partir de la ecuación:

\color[RGB]{2,112,20}{\bm{Q= m\cdot c_e\cdot (T_f - T_i)}}

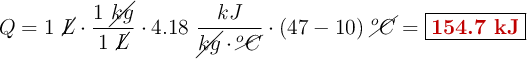
Como conoces todos los datos, sustituyes y calculas:

Q = 1\ \cancel{L}\cdot \frac{1\ \cancel{kg}}{1\ \cancel{L}}\cdot 4.18\ \frac{kJ}{\cancel{kg}\cdot{\cancel{^oC}}}\cdot (47 - 10)\ \cancel{^oC}} =\fbox{\color[RGB]{192,0,0}{\bf 154.7\ kJ}}