Cálculo con cifras significativas y unidades correctas (4436)

, por F_y_Q

Realiza el siguiente cálculo con el número de cifras significativas correcto y con unidades del Sistema Internacional de Unidades:

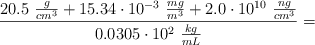
\frac{20.5\ \frac{g}{cm^3}+15.34\cdot 10^{-3}\ \frac{mg}{m^3}+2.0\cdot 10^{10}\ \frac{ng}{cm^3}}{0.0305\cdot 10^2\ \frac{kg}{mL}} =

P.-S.

En el ejercicio hay dos tipos de operaciones que hacer; en el numerador tienes sumas y luego debes hacer un cociente con el denominador.

Lo primero que debes hacer es expresar todas las cantidades en las mismas unidades, que han de ser unidades SI porque así lo dice el enunciado:

20.5\ \frac{\cancel{g}}{\cancel{cm^3}}\cdot \frac{1\ kg}{10^3\ \cancel{g}}\cdot \frac{10^6\ \cancel{cm^3}}{1\ m^3} = \color[RGB]{0,112,192}{\bm{2.05\cdot 10^4\ \frac{kg}{m^3}}}

15.34\cdot 10^{-3}\ \frac{\cancel{mg}}{m^3}\cdot \frac{1\ kg}{10^6\ \cancel{mg}} = \color[RGB]{0,112,192}{\bm{1.534\cdot 10^{-9}\ \frac{kg}{m^3}}}

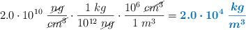
2.0\cdot 10^{10}\ \frac{\cancel{ng}}{\cancel{cm^3}}\cdot \frac{1\ kg}{10^{12}\ \cancel{ng}}\cdot \frac{10^6\ \cancel{cm^3}}{1\ m^3} = \color[RGB]{0,112,192}{\bm{2.0\cdot 10^4\ \frac{kg}{m^3}}}

3.05\cdot 10^2\ \frac{kg}{\cancel{mL}}\cdot \frac{10^6\ \cancel{mL}}{1\ m^3} = \color[RGB]{0,112,192}{\bm{3.05\cdot 10^8\ \frac{kg}{m^3}}}

Ahora solo queda hacer las operaciones. Primero sumamos las cantidades del numerador y debes obtener un resultado con la décima como cifra decimal menor común a todas las cantidades:

(2.05\cdot 10^4 + 1.534\cdot 10^{-9} + 2.0\cdot 10^4)\ \frac{kg}{m^3} = \color[RGB]{0,112,192}{\bm{4.1\cdot 10^4\ \frac{kg}{m^3}}}

Al hacer el cociente tienes que tomar el menor número de cifras significativas, es decir, dos:

\frac{4.1\cdot 10^4\ \cancel{\frac{kg}{m^3}}}{3.05\cdot 10^8\ \cancel{\frac{kg}{m^3}}} = \fbox{\color[RGB]{192,0,0}{\bm{1.3\cdot 10^{-4}}}}