Peso de un objeto en newton y dinas (7595)

, por F_y_Q

Una lámina de acero inoxidable tiene una masa de 61.16 kg. Expresa su peso en newton y dinas.

P.-S.

Si tienes en cuenta como valor de la aceleración de la gravedad 9.8 \ \frac{m}{s^2}, el peso en newton es:

p = 61.16\ kg\cdot 9.8\ \frac{m}{s^2} = 599.4\ N = \fbox{\color[RGB]{192,0,0}{\bm{5.994\cdot 10^2\ N}}}


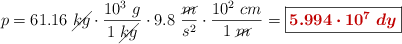
Para hacer el cálculo en dinas puedes hacer el cambio de unidad para la masa y la aceleración o hacer directamente el cambio de unidad. Fíjate cómo se hacen cada uno de los modos:

p = 61.16\ \cancel{kg}\cdot \frac{10^3\ g}{1\ \cancel{kg}}\cdot 9.8\ \frac{\cancel{m}}{s^2}\cdot \frac{10^2\ cm}{1\ \cancel{m}} = \fbox{\color[RGB]{192,0,0}{\bm{5.994\cdot 10^7\ dy}}}


5.994\cdot 10^2\ \cancel{N}\cdot \frac{10^5\ dy}{1\ \cancel{N}} = \fbox{\color[RGB]{192,0,0}{\bm{5.994\cdot 10^7\ dy}}}