Cambio de unidades de pies a metros (3127)

, por F_y_Q

Un avión vuela a 10 000 m de altura y otro a 33 300 pies. Si un pie equivale a 30.48 cm, ¿cuál vuela a menor altura?

P.-S.

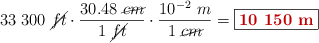
Conviertes los pies en metros para poder comparar ambas alturas:

33\ 300\ \cancel{ft}\cdot \frac{30.48\ \cancel{cm}}{1\ \cancel{ft}}\cdot \frac{10^{-2}\ m}{1\ \cancel{cm}} = \fbox{\color[RGB]{192,0,0}{\bf 10\ 150\ m}}


Ahora puedes concluir que el primer avión vuela más bajo que el segundo.