Distancia que recorre un coche cuando frena

, por F_y_Q

Un automóvil que viaja a 80 km/h puede detenerse un segundo después de que se le apliquen los frenos, ¿qué distancia recorrerá mientras está frenando?

P.-S.

Como el tiempo durante el que frena está en segundos, debemos convertir la velocidad inicial del automóvil a m/s:

80\frac{\cancel{km}}{\cancel{h}}\cdot \frac{10^3\ m}{1\ \cancel{km}}\cdot \frac{1\ \cancel{h}}{3.6\cdot 10^3\ s} = 22.22\frac{m}{s}

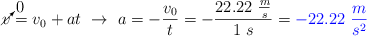
Ahora calculamos la aceleración del frenado, teniendo en cuenta que la velocidad final será cero:

\cancelto{0}{v} = v_0 + at\ \to\ a = -\frac{v_0}{t} = -\frac{22.22\ \frac{m}{s}}{1\ s} = \color{blue}{- 22.22\ \frac{m}{s^2}}

Ahora podemos hacer el cálculo de la distancia de frenada:

d = v_0t + \frac{a}{2}t^2 = 22.22\frac{m}{\cancel{s}}\cdot 1\ \cancel{s} - \frac{22.22}{2}\frac{m}{\cancel{s^2}}\cdot 1\ \cancel{s^2} = \fbox{\color{red}{\bf 11.11\ m}}