Masa necesaria para una disolución molar 0002

, por F_y_Q

Calcula la cantidad de NaOH que es necesaria para preparar 2 litros de solución 3 M.

P.-S.

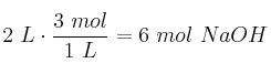
3 M significa que hay 3 moles de NaOH en cada litro de disolución:

2\ L\cdot \frac{3\ mol}{1\ L} = 6\ mol\ NaOH


Como la masa molecular del NaOH es 40 g/mol:

6\ mol\ NaOH\cdot \frac{40\ g}{1\ mol} = \bf 240\ g\ NaOH