Presión final de una mezcla de gases (6150)

, por F_y_Q

Tres frascos de 1 L, todos a 27 ^oC, han sido intercomunicados mediante espitas inicialmente cerradas. El primer frasco contiene 1 g de \ce{H_2O}, el segundo contiene \ce{O_2} a la presión de 1 atm y el tercero 1 g de \ce{N_2}. A la temperatura de 27 ^oC, la presión de vapor del agua es 0.038 atm. Calcula:

a) La presión inicial en cada frasco.

b) Si se abren las espitas y se espera a que se alcance el equilibrio, ¿cuál será la presión en el sistema?

c) Si la temperatura del sistema se eleva a 100 ^oC, ¿cuál será entonces la presión?

P.-S.

En primer lugar debemos calcular los moles de cada sustancia al principio. En el caso del agua debemos determinar también cuántos de los moles iniciales son de vapor:

n_{\ce{H2O}} = 1\ \cancel{g}\ \ce{H2O}\cdot \frac{1\ mol}{18\ \cancel{g}} = 0.556\ \ce{mol H2O}
n_{\ce{O2}} = \frac{P\cdot V}{R\cdot T} = \frac{1\ \cancel{atm}\cdot 1\ \cancel{L}}{0.082\ \frac{\cancel{atm}\cdot \cancel{L}}{\cancel{K}\cdot mol}\cdot 300\ \cancel{K}} = 4.06\cdot 10^{-2}\ \ce{mol O2}
n_{\ce{N2}} = 1\ \cancel{g}\ \ce{N2}\cdot \frac{1\ mol}{28\ \cancel{g}} = 3.57\cdot 10^{-2}\ \ce{mol N2}

Los moles de vapor de agua son:

n_{vap} = \frac{P_{vap}\cdot V}{RT} = \frac{0.038\ \cancel{atm}\cdot 1\ \cancel{L}}{0.082\ \frac{\cancel{atm}\cdot \cancel{L}}{mol\cdot \cancel{K}}\cdot 300\ \cancel{K}} = \color[RGB]{0,112,192}{\bm{1.54\cdot 10^{-3}\ mol}}

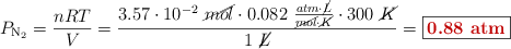
a) Las presiones de los recipientes de agua y oxígeno vienen dadas por el enunciado; coinciden con la presión de vapor del agua y 1 atm para el oxígeno. Para el nitrógeno es:

P_{\ce{N2}} = \frac{nRT}{V} = \frac{3.57\cdot 10^{-2}\ \cancel{mol}\cdot 0.082\ \frac{atm\cdot \cancel{L}}{\cancel{mol}\cdot \cancel{K}}\cdot 300\ \cancel{K}}{1\ \cancel{L}} = \fbox{\color[RGB]{192,0,0}{\bf 0.88\ atm}}


b) Al abrir las espitas todos los moles gaseosos se mezclarán y ocuparán el volumen total del sistema, que es 3 L. Como la temperatura sigue siendo de 27 ^oC vamos a considerar que los moles de vapor de agua son los mismos que habíamos calculado al principio.

P_T = \frac{n_TRT}{V_T} = \frac{7.78\cdot 10^{-2}\ \cancel{mol}\cdot 0.082\ \frac{atm\cdot \cancel{L}}{\cancel{mol}\cdot \cancel{K}}\cdot 300\ \cancel{K}}{3\ \cancel{L}} = \fbox{\color[RGB]{192,0,0}{\bf 0.64\ atm}}


c) Al calentar el sistema a 100 ^oC debemos suponer que todos los moles de agua que calculamos al principio se han convertido en vapor, por lo que los tenemos que contabilizar para los moles totales de gas del sistema. El cálculo que tenemos que hacer es análogo al anterior pero modificando el valor de los moles totales y la temperatura del sistema:

P_T = \frac{n_TRT}{V_T} = \frac{0.632\ \cancel{mol}\cdot 0.082\ \frac{atm\cdot \cancel{L}}{\cancel{mol}\cdot \cancel{K}}\cdot 373\ \cancel{K}}{3\ \cancel{L}} = \fbox{\color[RGB]{192,0,0}{\bf 6.44\ atm}}