Resistencia de un cordón metálico (5137)

, por F_y_Q

Un cordón metálico tiene 2 m de largo y 8 mm de diámetro. Calcula su resistencia si la resistividad del metal es de 1.76\cdot 10^{-8}\ \Omega\cdot m.

P.-S.

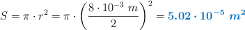
La sección del cordón metálico es:

S = \pi \cdot r^2 = \pi \cdot \left(\frac{8\cdot 10^{-3}\ m}{2}\right)^2 = \color[RGB]{0,112,192}{\bm{5.02\cdot 10^{-5}\ m^2}}

La resistencia es:

R = \rho \cdot \frac{L}{S} = 1.76\cdot 10^{-8}\ \Omega\cdot \cancel{m}\cdot \frac{2\ \cancel{m}}{5.02\cdot 10^{-5}\ \cancel{m^2}} = \fbox{\color[RGB]{192,0,0}{\bm{7\cdot 10^{-4}\ \Omega}}}