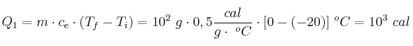
Temperatura final de hielo que se funde 0001
Se tienen 100 g de hielo a
que son calentados con 10 kcal. Determina la temperatura final del sistema.
Datos:
;
: 
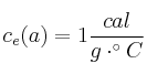
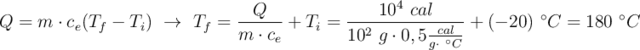
Se tienen 100 g de hielo a
que son calentados con 10 kcal. Determina la temperatura final del sistema.
Datos:
;
: 