Ajuste de un proceso rédox: método ión-electrón 0002

, por F_y_Q

Ajusta el siguiente proceso de oxidación-reacción utilizando el método del ión-electrón:

NaMnO_4 + H_2O_2 + H_2SO_4\ \to\ MnSO_4 + O_2 + H_2O + Na_2SO_4

P.-S.

Tenemos que ver qué átomos varían su estado de oxidación. En nuestro ejemplo el manganeso varía de un estado de oxidación (7+) a (2+), es decir, se reduce aceptando 5 electrones. Pero el oxígeno también se reduce, pasando de (1-) del agua oxigenada a (2-) del agua, aceptando otro electrón. Es necesario que haya otro elemento que se oxide y éste es el propio oxígeno que pasa de (1-) del agua oxigenada a (0) del oxígeno molecular.
Escribiremos las semirreacciones de reducción y oxidación. Como hay dos elementos que se reducen haremos dos semirreacciones de reducción que luego sumaremos, para que quede más claro:

MnO_4^{1-} + 5e^- + 8H^+\ \to\ Mn^{2+} + 4H_2O


H_2O_2 + 2e^- + 2H^+\ \to\ 2H_2O


Si sumamos ambas semirreacciones tendremos la semirreacción de reducción completa:

MnO_4^{-} + H_2O_2 + 7e^- + 10H^+\ \to\ Mn^{2+} + 6H_2O


Ahora vamos con la semirreacción de oxidación:

H_2O_2\ \to\ O_2 + 2H^+ + 2e^-


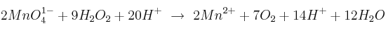
En la semirreacción de reducción se han transferido 7 electrones mientras que en la de oxidación sólo hay 2 electrones. Debemos multiplicar por 2 la primera y por 7 la última semirreacción para que los electrones sean los mismos en ambos procesos. Si sumamos las dos semirreacciones (habiendo hecho las multiplicaciones indicadas), obtenemos:

2MnO_4^{1-} + 9H_2O_2 + 20H^+\ \to\ 2Mn^{2+} + 7O_2 + 14H^+ + 12H_2O


Simplificando los protones:

2MnO_4^{1-} + 9H_2O_2 + 6H^+\ \to\ 2Mn^{2+} + 7O_2 + 12H_2O


Convertimos la ecuación iónica en ecuación molecular:

2NaMnO_4 + 9H_2O_2 + 3H_2SO_4\ \to\ 2MnSO_4 + 7O_2 + 12H_2O + Na_2SO_4