Aplicación del principio de conservación de la energía a un sistema con rozamiento (5973)
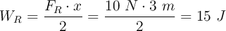
Un bloque de 2.0 kg inicialmente a 0.8 m de altura, comprime inicialmente 10 cm a un resorte de constante k = 600 N/m hasta que sale liberado del mismo. En la parte más baja ingresa a una región donde existe una fuerza de rozamiento de módulo variable, como se ve en la gráfica de la figura.

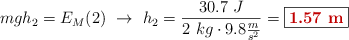
a) En función de los datos anteriores, calcula la máxima altura que alcanzará la masa.
b) ¿Volverá a atravesar toda la zona con rozamiento? Justifica tu respuesta.