Atracción gravitatoria entre cuerpos (3225)

, por F_y_Q

El oro es un material que tiene una densidad de 19.3\cdot 10^3\ kg\cdot m^{-3}. Calcula la fuerza gravitatoria entre dos esferas de oro de 1 cm de radio cuando estas casi se tocan.

P.-S.

En primer lugar puedes calcular el volumen de cada esfera para poder determinar su masa a partir del dato de la densidad:

V = \frac{4}{3}\pi\ r^3\ \to\ V = \frac{4}{3}\cdot 3.14\cdot (10^{-2})^3\ m^3 = \color[RGB]{0,112,192}{\bm{4.19\cdot 10^{-6}\ m^3}}

La masa de cada esfera será:

\rho = \frac{m}{V}\ \to\ m = \rho\cdot V = 19.3\cdot 10^3\ \frac{kg}{\cancel{m^3}}\cdot 4.19\cdot 10^{-6}\ \cancel{m^3} = \color[RGB]{0,112,192}{\bm{8\cdot 10^{-2}\ kg}}

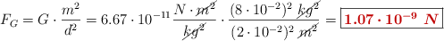
Aplicas la ley de gravitación universal, teniendo en cuenta que la distancia entre ambos centros de la esferas es el doble del radio:

F_G = G\cdot \frac{m^2}{d^2} = 6.67\cdot 10^{-11}\frac{N\cdot \cancel{m^2}}{\cancel{kg^2}}\cdot \frac{(8\cdot 10^{-2})^2\ \cancel{kg^2}}{(2\cdot 10^{-2})^2\ \cancel{m^2}} = \fbox{\color[RGB]{192,0,0}{\bm{1.07\cdot 10^{-9}\ N}}}