Energía necesaria para acelerar un coche, sabiendo el rendimiento de su motor (5955)

, por F_y_Q

Un coche tiene una masa de 750 kg y se considera que el rendimiento del motor es del 14 \%. Calcula la cantidad de energía empleada para acelerar el vehículo desde el reposo hasta 80 km/h.

P.-S.

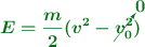
La energía necesaria para acelerar el vehículo es igual a la variación de la energía cinética:

\color[RGB]{2,112,20}{\bm{E = \frac{m}{2}(v^2 - \cancelto{0}{v_0^2})}}

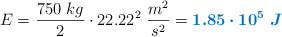
Debes expresar la velocidad final en m/s y hacer el cálculo de la energía teórica:

E = \frac{750\ kg}{2}\cdot 22.22^2\ \frac{m^2}{s^2} = \color[RGB]{0,112,192}{\bm{1.85\cdot 10^5\ J}}

Ahora debes tener en cuenta el rendimiento del motor para poder calcular la energía que ha consumido el motor para poder ceder esta energía al coche:

\eta = \frac{E_u}{E_T}\cdot 100\ \to\ E_T = \frac{1.85\cdot 10^5\ J}{0.14} = \fbox{\color[RGB]{192,0,0}{\bm{1.32\cdot 10^6\ J}}}