Masa de ácido nítrico para oxidar todo el hierro(2+) a hierro(3+) (8128)

, por F_y_Q

A 5 mL de una disolución al 1.12\ \% en volumen de \ce{Fe^{2+}} se añaden 2 gotas de ácido nítrico de densidad 1.4 g/mL y del 70\ \% de riqueza en peso. Calcula si serán suficientes para oxidar todo el \ce{Fe^{2+}} a \ce{Fe^{3+}}. Considera que una gota equivale a 0.05 mL. La reacción sin ajustar que tiene lugar es:

\ce{Fe^{2+} + HNO3 -> Fe^{3+} + NO}

P.-S.

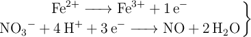
En primer lugar, debes ajustar el proceso redox que tiene lugar. Para ello aplicas el método ion-electrón. Las semirreacciones quedan como:

\left \ce{Fe^{2+} -> Fe^{3+} + 1e^-} \atop \ce{NO3^- + 4H^+ + 3e^- -> NO + 2H2O} \right \}

Tienes que multiplicar por tres la primera semireacción para que los electrones de ambos procesos sean los mismos. Si sumas los dos procesos, obtienes la reacción ajustada:

\color[RGB]{2,112,20}{\textbf{\ce{3Fe^{2+} + NO3^- + 4H^+ -> 3Fe^{2+} + NO + 2H2O}}}

Debes calcular los moles de cada reactivo que están contenidos en los volúmenes que indica el enunciado:

5\ \cancel{\text{mL D}}\cdot \frac{1.12\ \cancel{g}\ \ce{Fe^{2+}}}{100\ \cancel{\text{mL\ D}}}\cdot \frac{1\ mol}{55.8\ \cancel{g}} = \color[RGB]{0,112,192}{\bm{10^3}\ \textbf{\ce{mol\ Fe^{2+}}}

2\ \cancel{\text{gotas}}\cdot \frac{0.05\ \cancel{\text{mL D}}}{1\ \cancel{\text{gota}}}\cdot \frac{1.4\ \cancel{g}\ \ce{NO3-}}{100\ \cancel{\text{mL\ D}}}\cdot \frac{1\ mol}{63\ \cancel{g}} = \color[RGB]{0,112,192}{\bm{1.5\cdot 10^3}\ \textbf{\ce{mol\ NO3^-}}}

Dado que necesitas tres veces menos moles de \ce{NO3^-} que de \ce{Fe^{2+}} para que se produzca la oxidación, y que tienes más moles de nitrato que de catión, \fbox{\color[RGB]{192,0,0}{\textbf{es suficiente el volumen de nitrato}}}