Molalidad a partir de concentración porcentual en masa 0001

, por F_y_Q

Calcula la molalidad de una disolución de bromuro de potasio al 48,2\% en masa.

P.-S.

Vamos a considerar 100 g de disolución (D). En ese caso tendremos 48,2 g de KBr y 51,2 g de agua, si aplicamos la concentración porcentual de la disolución.
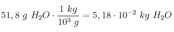
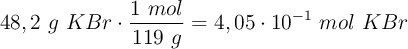
Debemos calcular los moles de KBr y expresar la masa de agua en kilogramos:

48,2\ g\ KBr\cdot \frac{1\ mol}{119\ g} = 4,05\cdot 10^{-1}\ mol\ KBr


51,8\ g\ H_2O\cdot \frac{1\ kg}{10^3\ g} = 5,18\cdot 10^{-2}\ kg\ H_2O


La molalidad es el cociente entre los moles de soluto y la masa de disolvente, expresada en kilogramos:

m = \frac{4,05\cdot 10^{-1}\ mol}{5,18\cdot 10^{-2}\ kg} = \bf 7,82\ m