P.-S.
La estrategia para resolver el ejercicio debe ser determinar la solubilidad de la sal y compararla con la concentración que alcanzaría el ión común al mezclar ambas disoluciones.
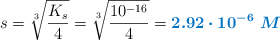
Solubilidad de la sal.
El equilibrio que se establece es:

El producto de solubilidad es:
Si despejas el valor de la solubilidad y calculas:
Concentración del catión en la disolución final.
El hidróxido de cinc es un electrolito fuerte por ser un hidróxido metálico y se disocia completamente:

La concentración del catión será la mitad que la concentración del anión hidróxido. Como el pH es 7, la concentración del anión es
![[OH^-] = 10^{-7}\ M [OH^-] = 10^{-7}\ M](local/cache-vignettes/L120xH20/101b22531c7bf91fc8eeaaf81db96656-0dbc2.png?1733112719)
y eso significa que la concentración del catión es
la mitad, es decir,
![\fbox{\color[RGB]{192,0,0}{\textbf{[\ce{Zn^{2+}}]} = \bm{5\cdot 10^{-8}\ M}}} \fbox{\color[RGB]{192,0,0}{\textbf{[\ce{Zn^{2+}}]} = \bm{5\cdot 10^{-8}\ M}}}](local/cache-vignettes/L169xH28/13a5298f3ed257bb7f45709b103e1373-49f1d.png?1733112719)
.
Los moles de catión debido a cada una de las disoluciones son:
La suma de ambos moles es aproximadamente

y la concentración, dado que el volumen final es de 100 mL, es:
![[\ce{Zn^{2+}}] = \frac{10^{-6}\ \ce{mol}}{0.1\ L} = \fbox{\color[RGB]{192,0,0}{\bm{10^{-5}\ M}}} [\ce{Zn^{2+}}] = \frac{10^{-6}\ \ce{mol}}{0.1\ L} = \fbox{\color[RGB]{192,0,0}{\bm{10^{-5}\ M}}}](local/cache-vignettes/L225xH37/6c63a29ed4ba19c85b22b462d303887f-03584.png?1733112719)
Como es una concentración MAYOR que la solubilidad de la sal,
se formará precipitado.