Sistema disparado verticalmente por un resorte (5974)

, por F_y_Q

Un resorte liviano de constante elástica k = 200 N/m, está comprimido x = 0.20 m, con un cuerpo apoyado de masa m = 0.30 kg. Al ser liberado del cuerpo desde el reposo se produce un ascenso vertical.

a) ¿Qué módulo tiene la velocidad del cuerpo al despegarse del resorte?

b) Determina, de forma fundamentada, y explica si el cuerpo llega a pegar en el techo que está a una altura de 3 m desde el suelo en el que apoya el resorte de un 1 m de longitud cuando está en reposo.

P.-S.

Tomas referencia en la posición del cuerpo, como se aprecia en la figura:


(Si clicas sobre la miniatura podrás ver la figura con más detalle).
a) En este caso, la energía mecánica de la bolita es igual a la energía potencial elástica del resorte. Cuando se libere del resorte, su velocidad será:

E_M(1)  = E_M(2)\ \to\ \frac{1}{2}kx^2 = \frac{1}{2}mv_2^2\ \to\ v_2 = \sqrt{\frac{kx^2}{m}}

v_2 = \sqrt{\frac{200\frac{N}{\cancel{m}}\cdot 0.2^2\ m\cancel{^2}}{0.3\ kg}} = \fbox{\color[RGB]{192,0,0}{\bm{5.16\ \frac{m}{s}}}}


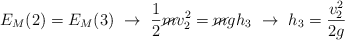
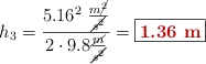
b) Ahora vuelves a igualar las energía mecánicas en 2 y en 3, que sería en el punto de la altura máxima:

E_M(2)  = E_M(3)\ \to\ \frac{1}{2}\cancel{m}v_2^2 = \cancel{m}gh_3\ \to\ h_3 = \frac{v_2^2}{2g}

h_3 = \frac{5.16^2\ \frac{m\cancel{^2}}{\cancel{s^2}}}{2\cdot 9.8\frac{\cancel{m}}{\cancel{s^2}}} = \fbox{\color[RGB]{192,0,0}{\bf 1.36\ m}}


Esto quiere decir que la altura máxima que alcanza, desde el suelo donde apoya el resorte, es los 0.8 m iniciales más los 1.36 m que asciende: 2.16 m, que son menos que los 3 m a los que está el techo, por lo que el cuerpo no llega al techo.