Velocidad y peso de un satélite lunar a partir de datos terrestres (7372)

, por F_y_Q

Sabiendo que la masa de la Tierra es 81 veces la masa de la Luna y la aceleración en la superficie terrestre es 6 veces superior a la aceleración de la gravedad en la superficie lunar, calcula:

a) La velocidad de un satélite que se mueve en una órbita circular estable en torno a la Luna a una altura de 3 200 km de su superficie.

b) El peso del satélite en esa órbita si su masa es de 10 000 kg.

c) La velocidad con la que llegaría a la superficie lunar si, por cualquier motivo, el satélite perdiese la energía cinética.

Radio de la Tierra = 6 370 km ; G = 6.67\cdot 10^{-11}\ N\cdot m^2\cdot kg^{-2} ; g = 9.8 \ m\cdot s^{-2}

P.-S.

Antes de poder calcular lo que indica el enunciado es necesario obtener los valores del radio y la masa de la Luna. Si haces el cociente entre las aceleraciones de la gravedad de ambos cuerpos:

\frac{g_T}{g_L} = \frac{\frac{\cancel{G}\cdot M_T}{R_T^2}}{\frac{\cancel{G}\cdot M_L}{R_L^2}} = 6\ \to\ \frac{M_T\cdot R_L^2}{M_L\cdot R_T^2} = 6

El cociente entre la masa de la Tierra y la de la Luna sabes que es igual a 81 por lo que puedes despejar el valor del radio de la Luna y calcular:

\frac{R_L}{R_T} = \sqrt{\frac{6}{81}}\ \to\ R_L = 0.27\cdot R_T = 0.27\cdot 6.37\cdot 10^6\ m\ \to\ \color[RGB]{0,112,192}{\bm{R_L = 1.72\cdot 10^6\ m}}

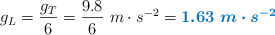
La aceleración gravitatoria en la superficie de la Luna es:

g_L = \frac{g_T}{6} = \frac{9.8}{6}\ m\cdot s^{-2} = \color[RGB]{0,112,192}{\bm{1.63\ m\cdot s^{-2}}}

Si escribes esta aceleración con la ecuación del campo gravitatorio puedes calcular la masa de la Luna:

g_L = G\cdot \frac{M_L}{R_L^2}\ \to\ M_L = \frac{g_L\cdot R_L^2}{G} = \frac{1.63\ m\cdot s^{-2}\cdot (1.72\cdot 10^6)^2\ \cancel{m^2}}{6.67\cdot 10^{-11}\ N\cdot \cancel{m^2}\cdot kg^{-2}} = \color[RGB]{0,112,192}{\bm{7.23\cdot 10^{22}\ kg}}

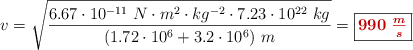
a) La velocidad del satélite a la altura indicada es:

\color[RGB]{2,112,20}{\bm{v = \sqrt{\frac{G\cdot M_L}{d}}}}

La distancia es la suma del radio de la Luna y la altura a la que se encuentra el satélite sobre la superficie lunar:

v = \sqrt{\frac{6.67\cdot 10^{-11}\ N\cdot m^2\cdot kg^{-2}\cdot 7.23\cdot 10^{22}\ kg}{(1.72\cdot 10^6 + 3.2\cdot 10^6)\ m}} = \fbox{\color[RGB]{192,0,0}{\bm{990\ \frac{m}{s}}}}


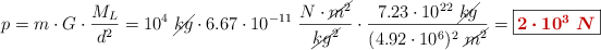
b) El peso del satélite es la masa del mismo por el valor de la aceleración de la gravedad lunar a esa altura:

p = m\cdot G\cdot \frac{M_L}{d^2} = 10^4\ \cancel{kg}\cdot 6.67\cdot 10^{-11}\ \frac{N\cdot \cancel{m^2}}{\cancel{kg^2}}\cdot \frac{7.23\cdot 10^{22}\ \cancel{kg}}{(4.92\cdot 10^6)^2\ \cancel{m^2}} = \fbox{\color[RGB]{192,0,0}{\bm{2\cdot 10^3\ N}}}


c) La velocidad con la que llegaría sería la que estaría asociada la aceleración gravitatoria sobre el satélite a esa altura, que es 0.2\ \textstyle{m\over s^2} :

E_P = E_C\ \to\ v = \sqrt{2\cdot g_h\cdot h} = \sqrt{2\cdot 0.2\ \frac{m}{s^2}\cdot 4.92\cdot 10^6\ m} = \fbox{\color[RGB]{192,0,0}{\bm{1.13\cdot 10^3\ \frac{m}{s}}}}