Leyes de los gases: Ley de Dalton (3194)

, por F_y_Q

En un recipiente de 5 L se introducen 8 g de helio, 84 g de dinitrógeno y 90 g de vapor de agua. Si la temperatura del recipiente es de 27\ ^oC, calcula:

a) La presión total que ejercen los gases en las paredes del recipiente.

b) La presión que ejerce cada gas.

P.-S.

Vas a aplicar la ley de Dalton de las presiones parciales, pero para ello debes conocer antes la presión total del sistema, que es el apartado a) del problema.

a) Despejas la presión de la ecuación de los gases ideales:

PV = nRT\ \to\ \color[RGB]{2,112,20}{\bm{P= \frac{nRT}{V}}}

Puedes ver que es necesario conocer los moles de gas que están encerrados en el recipiente, por lo que debes calcularlos a partir de sus masas y las masas atómicas y moleculares:

8\ \cancel{g}\ \ce{He}\cdot \frac{1\ \text{mol}}{4\ \cancel{g}} = \color[RGB]{0,112,192}{\bf 2\ mol\ He}
84\ \cancel{g}\ \ce{N2}\cdot \frac{1\ \text{mol}}{28\ \cancel{g}} = \color[RGB]{0,112,192}{\textbf{3\ \ce{mol\ N2}}}
90\ \cancel{g}\ \ce{H2O}\cdot \frac{1\ \text{mol}}{18\ \cancel{g}} = \color[RGB]{0,112,192}{\textbf{5\ \ce{mol\ H2O}}}

El número total de moles gaseosos será la suma de los valores anteriores:

n_T = (2+3+5)\ \text{mol} = \color[RGB]{0,112,192}{\bf 10\ mol}

Sustituyes en la ecuación de los gases ideales y calculas la presión total:

P = \frac{10\ \cancel{\text{mol}}\cdot 0.082\ \frac{atm\cdot \cancel{L}}{\cancel{K}\cdot \cancel{\text{mol}}}\cdot 300\ \cancel{K}}{5\ \cancel{L}} = \fbox{\color[RGB]{192,0,0}{\bf 49.2\ atm}}


b) Para determinar la presión que ejerce cada gas en la mezcla, es decir, la presión parcial, debes aplicar la ley de Dalton:

\color[RGB]{2,112,20}{\bm{P_i = x_i\cdot P_T}}

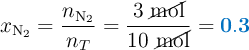
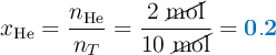
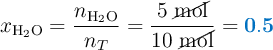
Como puedes ver, es necesario calcular las fracciones molares de los gases previamente:

x_{\ce{He}} = \frac{n_{\ce{He}}}{n_T} = \frac{2\ \cancel{\text{mol}}}{10\ \cancel{\text{mol}}} = \color[RGB]{0,112,192}{\bf 0.2}
x_{\ce{N2}} = \frac{n_{\ce{N2}}}{n_T} = \frac{3\ \cancel{\text{mol}}}{10\ \cancel{\text{mol}}} = \color[RGB]{0,112,192}{\bf 0.3}
x_{\ce{H2O}} = \frac{n_{\ce{H2O}}}{n_T} = \frac{5\ \cancel{\text{mol}}}{10\ \cancel{\text{mol}}} = \color[RGB]{0,112,192}{\bf 0.5}

El último paso es aplicar la ecuación de Dalton para cada caso:

P_{\ce{He}} = 0.2\cdot 49.2\ atm = \fbox{\color[RGB]{192,0,0}{\bf 9.84\ atm}}


P_{\ce{N2}} = 0.3\cdot 49.2\ atm = \fbox{\color[RGB]{192,0,0}{\bf 14.8\ atm}}


P_{\ce{H2O}} = 0.5\cdot 49.2\ atm = \fbox{\color[RGB]{192,0,0}{\bf 24.6\ atm}}