Leyes ponderales: leyes de Lavisier y Proust (905)

, por F_y_Q

2.5 g de cobre reaccionan con cloro para dar un 5.3 g de compuesto. ¿Qué cantidad de cobre reaccionará con 1 200 mL de cloro gaseoso en condiciones normales? ¿Qué cantidad de compuesto se formará?

Dato: Cl = 35.5; Cu = 63.5

P.-S.

Si aplicas la ley de la conservación de la masa, puedes deducir que la masa de cloro que reacciona con los 2.5 g de cobre es:

m_{\ce{Cl2}} = (5.3 - 2.5)\ g = \color[RGB]{0,112,192}{\textbf{2.8 g de \ce{Cl2}}}

Como sabes, un mol de cualquier gas en condiciones normales ocupa 22.4 L:

1\ 200\ \cancel{mL}\ \ce{Cl2}\cdot \frac{1\ \cancel{L}}{10^3\ \cancel{mL}}\cdot \frac{1\ \text{mol}}{22.4\ \cancel{L}} = \color[RGB]{0,112,192}{\bm{5.4\cdot 10^{-2}\ \textbf{mol \ce{Cl2}}}}

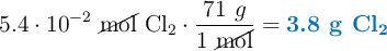
Como la masa molecular del cloro es 71 g/mol:

$5.4\cdot 10^{-2}\ \cancel{\text{mol}}\ \ce{Cl2}\cdot \frac{71\ g}{1\ \cancel{\text{mol}}} = \color[RGB]{0,112,192}{\textbf{3.8 g \ce{Cl2}}}

Según la ley de las proporciones definidas, la relación entre las masas de cobre y cloro ha de ser constante.

\frac{2.5\ \ce{g\ Cu}}{2.8\ \ce{g\ Cl2}} = \frac{x}{3.8\ \ce{g\ Cl2}}\ \to\ x = \fbox{\color[RGB]{192,0,0}{\bf 3.4\ g\ Cu}}


La cantidad de compuesto será la suma de las masas de los reactivos, es decir:

m = (3.8 + 3.4)\ g = \fbox{\color[RGB]{192,0,0}{\bf 7.2\ g}}