Masa de nitrógeno necesaria para obtener un volumen de amoniaco en condiciones normales (6979)

, por F_y_Q

¿Cuál es la masa de nitrógeno necesaria para que, al reaccionar con la suficiente cantidad de hidrógeno, se obtengan 60 L de amoniaco?

Masas atómicas (g/mol): N = 14 ; H = 1.

P.-S.

Lo primero que debes hacer es escribir la ecuación química del proceso:

\color[RGB]{0,112,192}{\textbf{\ce{N2(g) + 3H2(g) -> 2NH3(g)}}}


Si aplicas el volumen molar de un gas en condiciones normales y la relación estequiométrica en volumen, puedes obtener los moles de nitrógeno necesarios:

60\ \cancel{L\ \ce{NH3}}\cdot \frac{1\ \cancel{mol}}{22.4\ \cancel{L}}\cdot \frac{1\ mol\ \ce{N2}}{2\ \cancel{mol\ \ce{NH3}}} = \color[RGB]{0,112,192}{\textbf{1.34\ mol\ \ce{N2}}}

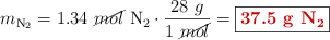
Ahora calculas la masa de nitrógeno teniendo en cuenta la masa molecular del nitrógeno:

M_{\ce{N2}} = 2\cdot 14 = \color[RGB]{2,112,20}{\bm{28\ \frac{g}{mol}}}

m_{\ce{N2}} = 1.34\ \cancel{mol}\ \ce{N2}\cdot \frac{28\ g}{1\ \cancel{mol}} = \fbox{\color[RGB]{192,0,0}{\textbf{37.5\ g\ \ce{N2}}}}