Masa de producto a partir de cantidad de reactivo 0001

, por F_y_Q

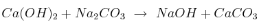
¿Cuántos gramos de NaOH se pueden producir a partir de 500 g de Ca(OH)_2, de acuerdo con la ecuación Ca(OH)_2 + Na_2CO_3\ \to\ NaOH + CaCO_3?

P.-S.

En primer lugar hay que ajustar la reacción química:
Ca(OH)_2 + Na_2CO_3\ \to\ 2NaOH + CaCO_3
Ahora calculamos los moles de hidróxido de calcio que son los 500 g:

500\ g\ Ca(OH)_2\cdot \frac{1\ mol}{74\ g} = 6,76\ mol\ Ca(OH)_2


Aplicamos la estequiometría de la reacción:

6,76\ mol\ Ca(OH)_2\cdot \frac{2\ mol\ NaOH}{1\ mol\ Ca(OH)_2} = 13,52\ mol\ NaOH


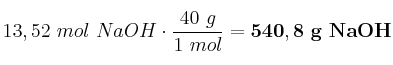
Calculamos la masa de los moles de NaOH obtenidos:

13,52\ mol\ NaOH\cdot \frac{40\ g}{1\ mol} = \bf 540,8\ g\ NaOH