Potencia necesaria para que un vehículo eléctrico se desplace con velocidad constante (6109)

, por F_y_Q

Un pequeño vehículo eléctrico supera una fuerza de fricción de 250 N cuando viaja a 35 km/h. El motor eléctrico recibe impulso mediante 10 baterías de 12 V conectadas en serie y se acopla directamente a las ruedas, cuyos diámetros son de 58 cm. Las 270 bobinas de armadura son rectangulares, de 12 cm por 15 cm, y giran en un campo magnético de 0.60 T. Calcula:

a) ¿Cuánta corriente extrae el motor para producir la torca requerida?

b) ¿Cuál es la fuerza contraelectromotriz?

c) ¿Cuánta potencia se disipa en las bobinas?

d) ¿Qué porcentaje de la potencia de entrada se usa para impulsar al automóvil?

P.-S.

Supón que la fuerza de fricción es el total de la fricción de las cuatros ruedas del vehículo. Debes trabajar en el Sistema Internacional y los valores del área de las espiras y la velocidad a la se mueve el coche debes expresarlos en estas unidades.

a) El torque o momento de la fuerza de rozamiento que ha de superar el vehículo depende del radio de las ruedas y es:

M_R = F_R\cdot r = 250\ N\cdot 0.29\ m= \color[RGB]{0,112,192}{\bf 72.5\ N\cdot m}

Este torque calculado tiene que ser igual al producto del momento dipolar magnético de la espiras y el campo magnético en el que giran:

\vec{M}_R = \vec \tau = \vec \mu \times \vec B\ \to\ \color[RGB]{2,112,20}{\bm{\vec{M}_R = N\cdot I\cdot A\cdot B\cdot sen\ \theta}}

Si supones que esta torca es máxima, es decir, sen \ \theta = 1 y despejas y calculas el valor de la intensidad:

I = \frac{M_R}{N\cdot A\cdot B} = \frac{72.5\ N\cdot \cancel{m}}{270\cdot 1.8\cdot 10^{-2}\ m\cancel{^2}\cdot 0.6\ T}= \fbox{\color[RGB]{192,0,0}{\bf 24.9\ A}}


b) La potencia que se disipa por rozamiento en las ruedas del vehículo tiene que ser igual a la potencia debida a la fuerza contralectromotriz de las espiras:

F_R\cdot v= I\cdot \bar \varepsilon\ \to\ \bar \varepsilon\ \to\ \color[RGB]{2,112,20}{\bm{F_R = \frac{F_R\cdot v}{I}}}

Haces el cálculo de la fuerza contraelectromotriz:

\bar \varepsilon = \frac{250\ N\cdot 9.72\ m\cdot s^{-1}}{24.9\ A}= \fbox{\color[RGB]{192,0,0}{\bf 97.6\ V}}


c) La potencia que se disipa en las bobinas es la diferencia entre la potencia generada por las baterías y la potencia debida a la fuerza contraelectromotriz:

P_d  = P_T - P_{fcem}\ \to\ \color[RGB]{2,112,20}{\bm{P_d = I\cdot \varepsilon - I\cdot \bar \varepsilon}}

Sacas factor común el valor de la intensidad y calculas:

P_d = 24.9\ A(120 - 97.6)\ V= \fbox{\color[RGB]{192,0,0}{\bf 558\ W}}


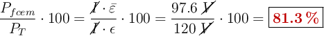
d) Basta con calcular el porcentaje de la potencial total que representa la potencia que se disipa por rozamiento:

\frac{P_{fcem}}{P_T}\cdot 100 = \frac{\cancel{I}\cdot \bar \varepsilon}{\cancel{I}\cdot \epsilon}\cdot 100 = \frac{97.6\ \cancel{V}}{120\ \cancel{V}}\cdot 100 = \fbox{\color[RGB]{192,0,0}{\bf 81.3\ \%}}