Trabajo de expansión isotérmica de un gas (5305)

, por F_y_Q

Un recipiente contiene 525 libras de nitrógeno ocupando un volumen de 50 litros a una presión de 8 bar. Se expande isotérmicamente hasta que ocupe un volumen doble. Calcula:

a) La presión final.

b) La variación de la energía interna.

c) El trabajo realizado.

P.-S.

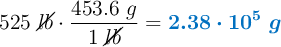
La masa de nitrógeno, expresada en gramos, es:

525\ \cancel{lb}\cdot \frac{453.6\ g}{1\ \cancel{lb}} = \color[RGB]{0,112,192}{\bm{2.38\cdot 10^5\ g}}

La temperatura a la que está el gas, y que permanece constante, la puedes obtener de las condiciones iniciales del gas:

PV = nRT\ \to\ T = \frac{PVM}{mR} = \frac{8\ \cancel{bar}\cdot \frac{1\ \cancel{atm}}{1.013\ \cancel{bar}}\cdot 50\ \cancel{L}\cdot 28\ \frac{\cancel{g}}{\cancel{mol}}}{2.38\cdot 10^5\ \cancel{g}\cdot 0.082\ \frac{\cancel{atm}\cdot \cancel{L}}{K\cdot \cancel{mol}}} = \color[RGB]{0,112,192}{\bf 0.57\ K}

a) La presión final la puedes obtener a partir de la ley de Boyle:

P_1\cdot V_1 = P_2\cdot V_2\ \to\ P_2 = \frac{P_1\cdot V_1}{V_2} = \frac{8\ bar\cdot \cancel{V_1}}{2\cancel{V_1}} = \fbox{\color[RGB]{192,0,0}{\bf 4\ bar}}


b) La variación de la energía interna es CERO por ser una expansión isotérmica.

c) El trabajo de expansión, cuando la temperatura permanece constante es:

\color[RGB]{2,112,20}{\bm{W = - nRT\cdot ln\ \frac{V_2}{V_1}}}

Sustituyendo los datos, pero empleando el valor de R en el Sistema Internacional (R = 8.314\ \frac{J}{mol\cdot K}):

W = - \frac{2.38\cdot 10^5\ \cancel{g}}{28\ \frac{\cancel{g}}{\cancel{mol}}}\cdot 8.314\ \frac{J}{\cancel{mol}\cdot \cancel{K}}\cdot 0.57\ \cancel{K}\cdot ln\frac{2\cancel{V_1}}{\cancel{V_1}} = \fbox{\color[RGB]{192,0,0}{\bm{-2.79\cdot 10^4\ J}}}