Velocidad a la que gira un objeto sujeto a una cuerda en distintos puntos (7053)
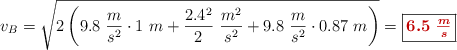
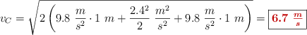
Un cuerpo de 5 kg gira en un círculo vertical atado al extremo de una cuerda de 1 m de longitud. Si la velocidad del cuerpo en la parte alta es , calcula:

a) La rapidez del cuerpo en el punto B.
b) La tensión de la cuerda en el punto B.
c) La mínima rapidez que debe tener el cuerpo en la parte más baja para que mantenga su trayectoria circular.