Velocidad angular de un generador para una corriente eficaz dada (7799)

, por F_y_Q

Un condensador de 10\ \mu F se conecta a un generador de tensión alterna sinusoidal de V_P = 150\ V. Si la corriente eficaz del circuito es de 1 A, ¿cuál es el periodo de la señal de tensión alterna? ¿Cuál debería ser la velocidad angular del generador para que la corriente eficaz del circuito fuese de 5 A?

P.-S.

Puedes calcular la tensión eficaz a partir de la tensión pico si tienes en cuenta cómo se relacionan ambas magnitudes:

V_P = V_{ef}\cdot \sqrt{2}\ \to\ {\color[RGB]{2,112,20}{\bm{V_{ef} = \frac{V_P}{\sqrt{2}}}}}\ \to\ V_{ef} = \frac{150\ V}{\sqrt{2}} = \color[RGB]{0,112,192}{\bf 106.1\ V}

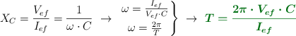
El cociente de las magnitudes eficaces es igual a la reactancia capacitiva, que se puede relacionar con la frecuencia angular. Trabajando con las ecuaciones:

X_C = \frac{V_{ef}}{I_{ef}} = \frac{1}{\omega\cdot C}\ \to\ \left \omega = \frac{I_{ef}}{V_{ef}\cdot C} \atop \omega = \frac{2\pi}{T} \right \}\ \to\ \color[RGB]{2,112,20}{\bm{T = \frac{2\pi\cdot V_{ef}\cdot C}{I_{ef}}}}

La intensidad eficaz a considerar es 1 A y la capacidad del condensador viene dada en el enunciado:

T = \frac{2\pi\cdot 106.1\ V\cdot 10^{-5}\ F}{1\ A} = \fbox{\color[RGB]{192,0,0}{\bm{6.66\cdot 10^{-3}\ s}}}


Si la corriente eficaz es de 5 A, el valor de la reactancia capacitiva cambia y también lo hace la velocidad angular:

\omega = \frac{I_{ef}}{V_{ef}\cdot C} = \frac{5\ A}{106.1\ V\cdot 10^{-5}\ F} = \fbox{\color[RGB]{192,0,0}{\bm{4\ 713\ s^{-1}}}}