Aceleración con la que desliza un joven en trineo

, por F_y_Q

Un joven de 60 kg, junto con su deslizador de 10 kg, desciende por un plano inclinado 37^oC, donde la fuerza de rozamiento vale 280 N. Calcula el módulo de la aceleración.

P.-S.

Al descomponer el peso del joven en las componentes x e yobtenemos las siguientes ecuaciones:
p_x = m\cdot g\cdot sen\ \alpha
p_y = \mu \cdot m\cdot g\cdot cos\ \alpha
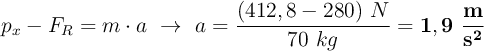
Como conocemos el valor de la fuerza de rozamiento y el ángulo del plano inclinado solo tenemos que calcular la componente x del peso y aplicar la segunda ley de la dinámica:
p_x = 70\ kg\cdot 9,8\frac{m}{s^2}\cdot sen\ 37^o = 412,8\ N

p_x - F_R = m\cdot a\ \to\ a = \frac{(412,8 - 280)\ N}{70\ kg} = \bf 1,9\ \frac{m}{s^2}