Fuerza promedio para detener un auto en 15 cm (7247)

, por F_y_Q

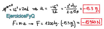
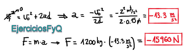
Calcula la fuerza promedio que tendría que ejercer un parachoques para que un automóvil de 1 200 kg se detenga en 15 cm cuando el automóvil tenía una velocidad inicial de 2.0 m/s.

P.-S.

Debes considerar que la velocidad final es cero y obtienes una aceleración negativa, lo que hace que la fuerza sea negativa. El signo solo indica que debe ser de sentido contrario al del movimiento inicial del automóvil.

Clicando en la miniatura puedes ver la resolución del problema.