Altura desde la que se deja caer una moneda (5906)

, por F_y_Q

Una moneda se suelta a una altura h del piso. En el último segundo de su caída libre recorre una distancia de \textstyle{h\over 4}. Calcula la altura h.

Considera que g = 10 \ \textstyle{m\over s^2}.

P.-S.

Llamamos t al tiempo total de caída de la moneda y, a partir de la ecuación de la posición en una caída libre, vamos a escribir las ecuaciones de la moneda para el primer y segundo tramo:

\color[RGB]{2,112,20}{\bm{h = v_0\cdot t + \frac{1}{2}g\cdot t^2}}

Primer tramo. La velocidad inicial es cero y el tiempo que transcurre es (t - 1):

\frac{3h}{4} = \cancelto{0}{v_0}(t - 1)  - 5(t - 1)^2

La velocidad de la moneda al final del primer tramo es:

v_1 = \cancelto{0}{v_0} - 10(t - 1)

Segundo tramo. Ahora la velocidad inicial es v_1 y el tiempo a considerar es un segundo:

\frac{h}{4} = -10(t - 1) - 5\cdot 1^2

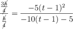
Si divides la ecuación del primer tramo por la del segundo tramo obtienes:

\frac{\frac{3\cancel{h}}{\cancel{4}}}{\frac{\cancel{h}}{\cancel{4}}}  = \frac{-5(t - 1)^2}{-10 (t - 1) - 5}

Desarrollando y despejando llegas la siguiente ecuación de segundo grado:

\color[RGB]{2,112,20}{\bm{5t^2 - 40t + 20 = 0}}

Las soluciones de esta ecuación son \color[RGB]{0,112,192}{\bm{t_1 = 7.46\ s}} y \color[RGB]{0,112,192}{\bm{t_2 = 0.54\ s}}. El tiempo que tiene sentido físico es el primero. A partir de ese valor puedes calcular la altura desde la que se dejó caer la moneda:

h = \cancelto{0}{v_0}\cdot t - 5t^2 = 5\ \frac{m}{\cancel{s^2}}\cdot 7.46^2\ \cancel{s^2} = \fbox{\color[RGB]{192,0,0}{\bf 278\ m}}}